P.C. Roos1, G. Lipari2*, C. Pitzalis3, K.R.G. Reef1, G.H.P. Campmans1, S.J.M.H. Hulscher1
1 University of Twente
2 Watermotion | Waterbeweging
3 Flood Management, Arcadis Nederland BV
*corresponding author: This email address is being protected from spambots. You need JavaScript enabled to view it.
An unsteady friction coefficient for the bed-shear stress
The nonlinear dependency of bed shear stress on flow speed complicates the modelling of time-varying shallow flows, like tides and storm surges. Lorentz's linearisation circumvents nonlinearity in tidal flows thanks to a steady friction coefficient r established with a criterion of tide-averaged energy equivalence (Lorentz, 1922). Idealized models of sandbank and tidal dynamics in channel networks have used this linearisation successfully. However, this approach is not suited to storm surges because of their episodic and irregular forcing pattern. Here, we introduce and illustrate the amplification of Lorentz's energy criterion to an instantaneous power criterion (Roos et al, 2021). As a result, an unsteady friction coefficient r(t) can adjust to the temporal development of natural wind-driven flows.
A semi-analytical solution in an idealized channel
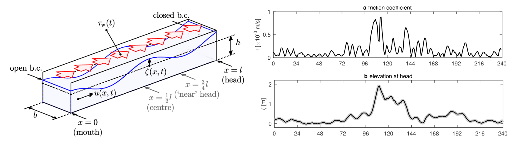
This novel bed-stress parametrisation is applied to the flow in an idealised channel, closed at one end, forced by a time-varying surface elevation at its mouth and by a time-varying wind stress over its free surface, as sketched below. The cross-sectionally averaged, linearised shallow-water equations are solved analytically in the frequency domain and nested in an iterative procedure to determine r(t).
The verification of the modelling approach
An accurate finite-difference solution of the linearised shallow-water equations retaining the quadratic bed shear stress has been used as numerical benchmark. A forcing from the Xavier storm, on the Sinterklaas day of 2013, is used to mimic a natural event. The comparisons, previewed below, show that the proposed approach captures accurately qualitative and quantitative aspects of surge dynamics such as the height and timing of the peaks, sloshing, and the friction-induced tide-surge interactions. The RMSEs of the predicted velocity and bed shear stress deviate from the benchmark minimally too.
Therefore, the computationally fast methods of linear analysis can be applied to processes having a nonperiodic temporal variability. The approach can be extended to complex setups such as channel networks. The impact of the small-amplitude approximation for storm surges simulations and the deviation with respect to a fully nonlinear friction term are subjects of following investigations.

Figure 1: Left: schematic of the channel domain, forcing and boundary conditions. Right: temporal development of the unsteady fiction coefficient r(t) and of the water level at the channel head as forced by a wind stress signal from the Sinterklaas storm; the background grey line is the nonlinear benchmark solution; time is in hours.
Reference
Roos, P.C., Lipari, G., Pitzalis, C., Reef K.R.G., Campmans, G.H.P., Hulscher, S.J.M.H. (2021). Unsteady linearisation of bed shear stress for idealised storm surge modelling. J. Mar. Sci. Eng., 9(11):1160. https://doi.org/10.3390/jmse9111160
Lorentz, H.A. (1922). Het in rekening brengen van den weerstand bij schommelende vloeistofbewegingen. De Ingenieur, 37:695-696. In Dutch.










