R.J.A. van Weerdenburg1*, A. Colina Alonso1,2, D.S. van Maren1,2,3, L.C. van Rijn4, M. Boechat Albernaz5 & Y. Huismans1,2
1 Deltares; 2 Delft University of Technology; 3 SKLEC; 4 Leo van Rijn Sediment Consultancy; 5 WaterProof Marine Consultancy & Services
*corresponding author: This email address is being protected from spambots. You need JavaScript enabled to view it.
Introduction
Bed sediments in estuaries and tidal basins often consist of mixtures of sand and mud. But although much is known about the erosion behaviour of the individual sediment fractions, our quantitative understanding of the erosion of sand-mud mixtures remains limited, especially under the combined effects of waves and currents. In order to advance our knowledge on sand-mud interaction processes, an international consortium of research institutes, consultants and dredging contractors is jointly investigating sand-mud dynamics by means of physical experiments, field measurements and numerical modelling. The expected outcome of this project is a better suite of complex numerical models (such as Delft3D and Mike) and simple analytical tools to better predict, for instance, the navigability of channels and effects of accelerated sea level rise on the sediment budget of coastal systems.
Earlier research has suggested that (1) the erosion fluxes of sand and mud are proportionally coupled, and (2) the amount of clay in the bed determines whether the sand and mud interact as a cohesive or non-cohesive mixture. We further investigate this, with additional focus on the combined effect of currents and waves.
Methods
Wave-current flume experiments were carried out in a 13 m long and 0.4 m wide flume. Sediment samples of varying composition were placed over a 3 m long stretch in the middle of the flume, after which the wave height and current speed were progressively increased. Next to visual observations of the erosive behaviour, OBS measurements were performed and water samples were taken at different heights to determine sediment concentrations. A digital wave-current flume was developed (in Delft3D) to hindcast the analogue flume results, in order to quantitatively understand the observations and improved formulations describing erosion processes.
Results
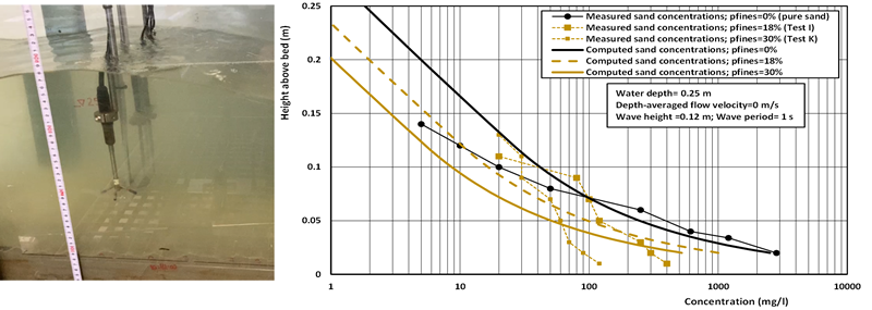
The laboratory experiments show that sediment cohesion affects the critical bed shear stress of the sand-mud mixture for mud fractions larger than 15%. The formation of ripples and near-bed sand transport was already suppressed for smaller mud fractions. The continuous OBS signal was used to estimate the erosion rate of sand and mud. Using the Delft3D model, we were able to further quantify the erosion rate, and show the sensitivity of results to different sediment transport formulations.

Figure 1: Picture of the experimental set-up in the wave-current flume (left) and comparison between measured and computed sediment concentrations in the flume (right).










