J.W. Bosma1, T.J. Kooistra2, S.H. Haarbosch3, T.D. Price1, and M.G. Kleinhans1
1 Utrecht University, the Netherlands; 2 Royal Netherlands Institute for Sea Research, the Netherlands; 3 Delft University of Technology, the Netherlands
* Corresponding author: j.w.bosma@uu.nl
Introduction
Shells and shell fragments exhibit different physical properties from siliciclastic materials, affecting their entrainment and suspension behavior on beaches. This difference can modify a bed’s overall mobility through mechanisms such as ‘hiding and exposure’, where shell particles shade or completely cover the surrounding grains (Miedema and Ramsdell, 2011).
At nourished beach sites, shells are often explicitly incorporated in their designs to reduce erosion rates. Studies on the properties of (individual) shells exposed to flow (e.g., Diedericks et al., 2018) and their impact on bedform formation and migration rates (Cheng et al., 2021) indicate a gravel-like role due to hiding-exposure effects (e.g., McCarron et al., 2019). However, the precise effects of proportions within a sand-shell mixture on the incipient motion and transport rates of the sand have not yet been systematically quantified. Furthermore, most research efforts have only considered steady or accelerating flow in one direction, while oscillatory flow is an inherent aspect of most coastal systems.
By investigating the role of shells in sandy beds for different percentages of shells and under different wave-current conditions, we aim to quantify their effect on bed mobility, characterize armor-layer formation, and develop improved parametrization for coastal morphodynamic models.
Objective and Methods
Under the project name TraSSh (Transport of Sand with Shells), flume experiments have been conducted at the NIOZ Yerseke racetrack-flume facility. The measurement set-up consisted of a 0.6-m wide circular flow channel equipped with a linear-wave generator and a special measurement section with a 2-m long test bed, pressure transducers, current(-profile) meters, side- and top-view cameras, and a bedload trap at the downstream boundary. The test beds were composed of sand-shell mixtures and subjected to physical forcing by both current and waves.
Two series of experiments were done for conditions with waves only, and with waves and current combined. In part 1, the orbital velocities were incrementally increased (with and without a constant background current), which was repeated for five different treatments (0, 5, 10, 20 and 50 vol.% shell content). During the ramp-up phase of each run, the moments of incipient motion according to six predefined transport stages were recorded. In part 2 the focus was on transport rates and armor-layer development. Forcing conditions were kept constant throughout the runs, while bedload and orthophotographs were collected at fixed time intervals to quantify sand transport rates and bed roughness, respectively.
Results
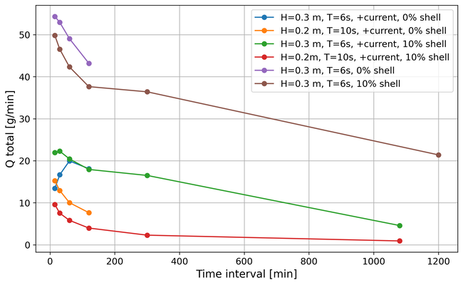
Preliminary findings indicate that initiating sand movement in mixtures containing more than 10 vol.% shell content requires either stronger orbital motions or currents, attributed to the sheltering effects of the shells. Converseley, there is evidence for increased boundary turbulence around shell protrusions at lower shell concentrations (<10 vol.%), which might promote the onset of movement. Furthermore, our bedload measurements demonstrate a clear decrease in transport rates with the addition of shell gravel for two of the three wave-current combinations tested (Fig. 1). Transport rates decreased over time in nearly all cases, including the control runs (i.e. 0 vol.% shells), indicating reduced sand availability regardless of shell content. Interestingly, the runs without an additional current in the direction of wave propagation resulted in larger transport rates. Additional examination of the co-collected orthophotographs should reveal the extent to which the shell material was a modulating factor by forming an armour layer. During the conference, we will methodically present the findings from our oscillatory-flow experiments and discuss their implications for sediment transport and morphodynamic modelling in the nearshore zone.

Figure 1. Bedload transport rates of sand (ombinations, where the superimposed current (0.1 m/s) is in the direction of wave propagation.
References
Cheng, C.H., de Smit, J.C., Fivash, G.S., Hulscher, S.J.M.H., Borsje, B.W., Soetaert, K., 2021. Sediment shell-content diminishes current-driven sand ripple development and migration. Earth Surf. Dyn. 9, 1335–1346.
Diedericks, G.P.J., Troch, C.N.A., Smit, G.J.F., 2018. Incipient Motion of Shells and Shell Gravel. J. Hydraul. Eng. 144.
McCarron, C.J., Van Landeghem, K.J.J., Baas, J.H., Amoudry, L.O., Malarkey, J., 2019. The hiding-exposure effect revisited: A method to calculate the mobility of bimodal sediment mixtures. Mar. Geol. 410, 22–31.
Miedema, S.A., Ramsdell, R.C., 2011. Hydraulic transport of sand/shell mixtures in relation with the critical velocity. Terra et Aqua 122.










